linear equations golf worksheet answers

Transformations Worksheet | Mychaume.com. 11 Images about Transformations Worksheet | Mychaume.com : Solved: Math 120 Worksheet 4 Name . I Am Out On The Golf C... | Chegg.com, Solve The System Of Equations By Graphing X Y 3y 2x 15 Brainly and also Write An Equation Of The Line In Point Slope Form That Passes Through.

Transformations Worksheet | Mychaume.com

Transformations Worksheet | Mychaume.com mychaume.com

transformations mychaume

Write An Equation Of The Line In Point Slope Form That Passes Through

Write An Equation Of The Line In Point Slope Form That Passes Through www.tessshebaylo.com

brainly

Solving Quadratic Simultaneous Equations Worksheet Tes - Tessshebaylo

Solving Quadratic Simultaneous Equations Worksheet Tes - Tessshebaylo www.tessshebaylo.com

simultaneous quadratic solving cazoomy coefficients

Spice Of Lyfe: Physics Equations Of Motion Questions

Spice of Lyfe: Physics Equations Of Motion Questions orvelleblog.blogspot.com

numerical khan

Definition Of Solving Quadratic Equation By Factoring - Tessshebaylo

Definition Of Solving Quadratic Equation By Factoring - Tessshebaylo www.tessshebaylo.com

factoring quadratic equation equations solve polynomials tessshebaylo

Solved: Math 120 Worksheet 4 Name . I Am Out On The Golf C... | Chegg.com

Solved: Math 120 Worksheet 4 Name . I Am Out On The Golf C... | Chegg.com www.chegg.com

solved transcribed text

Solve The System Of Equations By Graphing X Y 3y 2x 15 Brainly

Solve The System Of Equations By Graphing X Y 3y 2x 15 Brainly www.tessshebaylo.com

brainly 3y equations graphing solve graph

Transformations Worksheet | Mychaume.com

Transformations Worksheet | Mychaume.com mychaume.com

transformations mychaume

Quadratic Simultaneous Equations Questions Maths Genie - Tessshebaylo

Quadratic Simultaneous Equations Questions Maths Genie - Tessshebaylo www.tessshebaylo.com

equations simultaneous quadratic

201202102 | Golf-Patents.com

201202102 | Golf-Patents.com golf-patents.com

patents golf

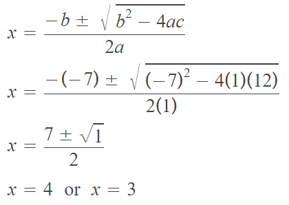
Solving Quadratic Equations Worksheet 4 Answer Key - Tessshebaylo

Solving Quadratic Equations Worksheet 4 Answer Key - Tessshebaylo www.tessshebaylo.com

quadratic equation equations tessshebaylo

Solved transcribed text. Definition of solving quadratic equation by factoring. Simultaneous quadratic solving cazoomy coefficients